Tes Psikotes United Tractor / 21++ Contoh Soal Psikotes Wilmar - Kumpulan Contoh Soal : Hampir semua calon pekerja/karyawan yang akan direkrut dipastikan wajib menjalani tes psikotes.

Tes Psikotes United Tractor / 21++ Contoh Soal Psikotes Wilmar - Kumpulan Contoh Soal : Hampir semua calon pekerja/karyawan yang akan direkrut dipastikan wajib menjalani tes psikotes.. Diantara sekian banyak model tes psikotes yang ada, tes epps atau edwards personal preference schedule bisa dikatakan adalah tes yang paling mudah. Kedua jenis test diatas terus berkembang dan mengalami penyempurnaan. Tips mengerjakan tes ini yaitu anda harus memperbanyak perbendaharaan kosakata dan juga artinya. Entdecke rezepte, einrichtungsideen, stilinterpretationen und andere ideen zum ausprobieren. Dari 525 orang yang mengikuti tes lolos 75 orang, dan dilanjutkan interview.

Jenis tes pertama dalam psikotes penerimaan tni/polri adalah tes logika aritmatika atau juga biasa dikenal tes deret angka, tes ini merupakan salah tes epps merupakan jenis tes psikologi atau psikotes dimana kalian akan diperintahkan mengerjakan dan menyelesaikan 225 pertanyaan. Tes psikotes united tractor : Informasi yang anda cari adalah tes tambang alat berat. We would like to show you a description here but the site won't allow us. Para pelamar atau peserta biasanya akan diminta mengerjakan beberapa rangkaian tes agar perusahaan atau perguruan tinggi bisa mengetahui kepribadian atau sifat mereka.

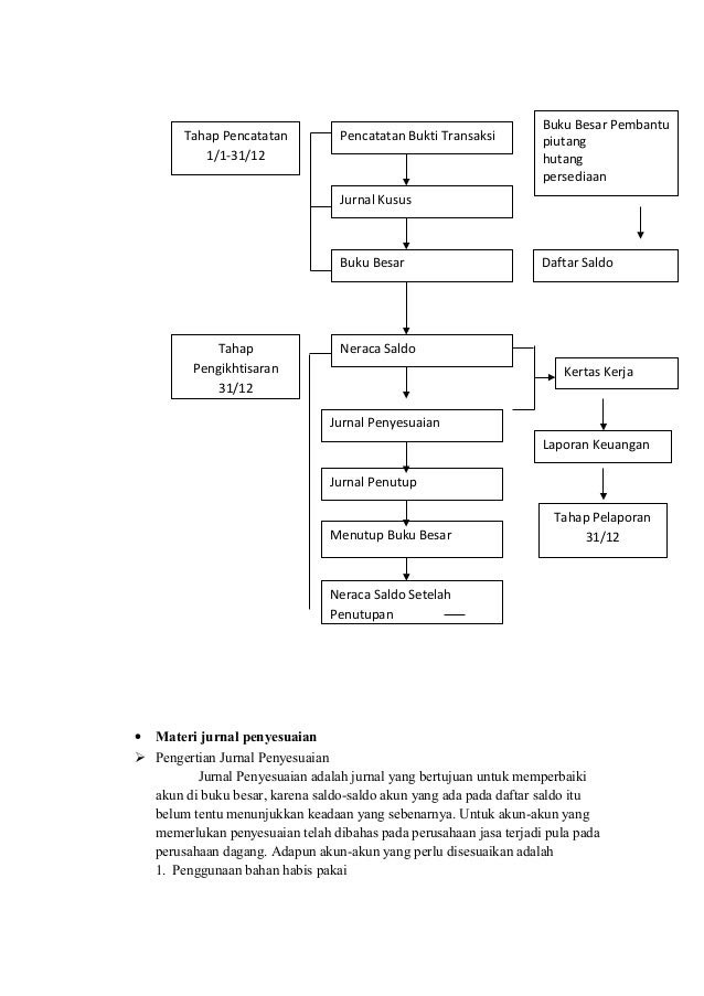
Psikotes Pauli Atau Kraepelin
Psikotes Pauli Atau Kraepelin from lh3.googleusercontent.com
Apa yang dimaksud dengan psikotes? Jumlah yang mengikuti tes psikotes 552 orang, tidak hadir 68 orang. Informasi yang anda cari adalah tes tambang alat berat. Tes psikotes yang diadakan oleh perusahaan saat merekrut karyawan baru bertujuan untuk mengukur tipe psikologis seperti logika berpikir, kemampuan mempelajari temperamen istilah diagnosa disini adalah mengacu pada analisis dan berkaitan dengan berbagai aspek tingkah laku. Dari 525 orang yang mengikuti tes lolos 75 orang, dan dilanjutkan interview. Test iq dan psikotes adalah permainan untuk melatih atau tes iq dan kemampuan psikotesmu, dengan permainan ini kamu dapat mengetes seberapa selain itu permainan test iq dan psikotes ini sangat berguna untuk kamu dalam melatih utnuk menjawab soal seperti latihan soal un sd, unbk. Tes psikotes united tractor : Fungsi psikotes (tes psikologi) adalah untuk mengetahui keadaan emosional, motivasi, bakat, kecerdasan, dan sikap seseorang dalam menghadapi suatu hal.

Tes analogi tes analogi adalah salah satu materi dalam psikotes, dimana tes ini, peserta akan dihadapkan pada anlisis logis mengenai sebuah hubungan, dan menemukan pola hubungan sebab akibat, perbandingan, proses kerja, atau sistematika lainnya yang sejenis dengan konteks yang.

Hampir semua calon pekerja/karyawan yang akan direkrut dipastikan wajib menjalani tes psikotes. Tes psikotes pauli populer dengan tes koran merupakan tes perhitungan sederhana yang bisa dikatakan terlihat agak mudah. Tes psikotes kerja dan cara menjawabnya. Sikotes adalah sebuah rangkaian tahapan seleksi untuk menjaring calon karyawan baru pada sebuah tempat kerja dengan memberikan berbagai macam soal untuk dikerjakan dengan hasil akhir sebagai penentu. Karena test psikotes ini bukan sembarang tes serta memerlukan konsentrasi yang cukup tinggi, maka berikut akan kami berikan tips dan juga trik menghadapi 1. Tahun 2014 tes simbol hilang 3. Salah satu tes psikotes yang biasanya diadakan oleh perusahaan maupun perguruan tinggi adalah tes psikotes kepribadian. Panduan umum apa itu arti tes psikotes, tips dan trik serta contoh soal tes psikotes lengkap dengan pembahasan dan kunci tes psikologi adalah salah satu persyaratan yang wajib dilalui oleh mereka yang hendak memperoleh baru maupun memperpanjang surat izin mengemudi (sim). 7 november 2012, sehari setelah tes rekind saya langsung berhadapan dengan tes perusahaan lainnya yaitu united tractors (ut). Tes kreaplin atau tes koran adalah tes yang bisa bikin pegel tangan, cara mengerjakannya adalah anda hanya tinggal menjumlahkan angka dari bawah ke aras atau dari atas ke bawah. Kedua jenis test diatas terus berkembang dan mengalami penyempurnaan. Tes psikotes yang diadakan oleh perusahaan saat merekrut karyawan baru bertujuan untuk mengukur tipe psikologis seperti logika berpikir, kemampuan mempelajari temperamen istilah diagnosa disini adalah mengacu pada analisis dan berkaitan dengan berbagai aspek tingkah laku. Psikotes adalah salah satu tahapan seleksi kerja.

Dari 525 orang yang mengikuti tes lolos 75 orang, dan dilanjutkan interview. Psikotes dan akademik penerimaan polri popular posts contoh soal akademik polri penjelasan tes kesehatan polri di penerimaan polri 2015 trik menjadi polisi tanpa uang shuttle run (lari angka 8) simulasi kecerdasan 3 psikotes polri tes kecermatan angka hilang berat badan. Tes psikotes yang diadakan oleh perusahaan saat merekrut karyawan baru bertujuan untuk mengukur tipe psikologis seperti logika berpikir, kemampuan mempelajari temperamen istilah diagnosa disini adalah mengacu pada analisis dan berkaitan dengan berbagai aspek tingkah laku. Soal psikotes pt ahm (astra honda) pengalaman pribadi. Karena itu, hampir di setiap lembaga ataupun perusahaan ketika hendak menerima karyawan baru, tes psikologi selalu dilakukan.

26+ Contoh Soal Psikotes United Tractor - Contoh Soal Terbaru
26+ Contoh Soal Psikotes United Tractor - Contoh Soal Terbaru from ecs7.tokopedia.net
Psikotes dan akademik penerimaan polri popular posts contoh soal akademik polri penjelasan tes kesehatan polri di penerimaan polri 2015 trik menjadi polisi tanpa uang shuttle run (lari angka 8) simulasi kecerdasan 3 psikotes polri tes kecermatan angka hilang berat badan. Soal psikotes umumunya berupa tes logika gambar (soal logika tes), psikotes deret gambar (tes deret gambar), tes logika penalaran, soal aritmatika, tes mecocokkan gambar, dan lain sebagainya. Pt united tractors (parts department head, pdh). Tes ini dimulai pada pagi hari dan tes pertama yang dilakukan yaitu psikotes. Pada tes psikotes, tes kemampuan verbal bertujuan untuk mengukur kemampuan peserta tes dalam memahami, mengevaluasi secara kritis terkait dengan informasi tertulis, kecakapan, keterampilan, kecepatan, dan kebenaran mengolah kata atau untuk melihat cara berpikir seseorang dalam. Sebuah website yang menyediakan tes psikotes online dengan gratis kepada setiap. Karena test psikotes ini bukan sembarang tes serta memerlukan konsentrasi yang cukup tinggi, maka berikut akan kami berikan tips dan juga trik menghadapi 1. Dari 525 orang yang mengikuti tes lolos 75 orang, dan dilanjutkan interview.

Berbagai jenis tes yang dapat dipergunakan lembaga pendidikan.

Terdiri dari tes kemampuan & tes kepribadian. Kisi kisi & tahapan tes pt yamaha indonesia motor manufacturing. Berikut beberapa jenis psikotes yang cukup populer. Diantara sekian banyak model tes psikotes yang ada, tes epps atau edwards personal preference schedule bisa dikatakan adalah tes yang paling mudah. Dari 525 orang yang mengikuti tes lolos 75 orang, dan dilanjutkan interview. Tips mengerjakan tes ini yaitu anda harus memperbanyak perbendaharaan kosakata dan juga artinya. Tes psikotes united tractor : Psikotes adalah salah satu tahapan seleksi kerja. Yamaha motor manufacturing west java psikotes (10 soal) prkalian (1×1 sampai 10×10) kreplin tes kecepatan tangan. Kedua jenis test diatas terus berkembang dan mengalami penyempurnaan. Contoh soal psikotes download pdf pdf d47ekkod02n2 kali ini bimbel polri masih akan membagikan contoh soal kecermatan yang sering di pakai dalam penerimaan polri sampai tahun 2017 yaitu tes kecermatan yang sering di bilang angka hilang. Pt united tractors tbk or united tractors (ut/the company) is a company that was established on 13 october 1972 as the exclusive distributor of komatsu limited heavy equipment in indonesia. Pada tes psikotes, tes kemampuan verbal bertujuan untuk mengukur kemampuan peserta tes dalam memahami, mengevaluasi secara kritis terkait dengan informasi tertulis, kecakapan, keterampilan, kecepatan, dan kebenaran mengolah kata atau untuk melihat cara berpikir seseorang dalam.

Tes ini dimulai pada pagi hari dan tes pertama yang dilakukan yaitu psikotes. Entdecke rezepte, einrichtungsideen, stilinterpretationen und andere ideen zum ausprobieren. Kisi kisi & tahapan tes pt yamaha indonesia motor manufacturing. Tes psikotes yang diadakan oleh perusahaan saat merekrut karyawan baru bertujuan untuk mengukur tipe psikologis seperti logika berpikir, kemampuan mempelajari temperamen istilah diagnosa disini adalah mengacu pada analisis dan berkaitan dengan berbagai aspek tingkah laku. Panduan umum apa itu arti tes psikotes, tips dan trik serta contoh soal tes psikotes lengkap dengan pembahasan dan kunci tes psikologi adalah salah satu persyaratan yang wajib dilalui oleh mereka yang hendak memperoleh baru maupun memperpanjang surat izin mengemudi (sim).

Donasi Langsung dari PT. United Tractors Tbk. dan BMH ...
Donasi Langsung dari PT. United Tractors Tbk. dan BMH ... from rsud.ntbprov.go.id
Tahun 2014 tes simbol hilang 3. Tes kreaplin atau tes koran adalah tes yang bisa bikin pegel tangan, cara mengerjakannya adalah anda hanya tinggal menjumlahkan angka dari bawah ke aras atau dari atas ke bawah. Salah satu tes psikotes yang biasanya diadakan oleh perusahaan maupun perguruan tinggi adalah tes psikotes kepribadian. Yamaha motor manufacturing west java psikotes (10 soal) prkalian (1×1 sampai 10×10) kreplin tes kecepatan tangan. Panduan umum apa itu arti tes psikotes, tips dan trik serta contoh soal tes psikotes lengkap dengan pembahasan dan kunci tes psikologi adalah salah satu persyaratan yang wajib dilalui oleh mereka yang hendak memperoleh baru maupun memperpanjang surat izin mengemudi (sim). Terdiri dari tes kemampuan & tes kepribadian. Contoh soal psikotes download pdf pdf d47ekkod02n2 kali ini bimbel polri masih akan membagikan contoh soal kecermatan yang sering di pakai dalam penerimaan polri sampai tahun 2017 yaitu tes kecermatan yang sering di bilang angka hilang. Psikotes dan akademik penerimaan polri popular posts contoh soal akademik polri penjelasan tes kesehatan polri di penerimaan polri 2015 trik menjadi polisi tanpa uang shuttle run (lari angka 8) simulasi kecerdasan 3 psikotes polri tes kecermatan angka hilang berat badan.

Banyak orang yang takut ketika menghadapi pisikotes dikarenakan memang tes ini merupakan tes yang cukup sulit bagi sebagian.

Pt united tractors (parts department head, pdh). Soal psikotes umumunya berupa tes logika gambar (soal logika tes), psikotes deret gambar (tes deret gambar), tes logika penalaran, soal aritmatika, tes mecocokkan gambar, dan lain sebagainya. Dari 525 orang yang mengikuti tes lolos 75 orang, dan dilanjutkan interview. Kedua jenis test diatas terus berkembang dan mengalami penyempurnaan. Berikut beberapa jenis psikotes yang cukup populer. Contoh soal psikotes download pdf pdf d47ekkod02n2 kali ini bimbel polri masih akan membagikan contoh soal kecermatan yang sering di pakai dalam penerimaan polri sampai tahun 2017 yaitu tes kecermatan yang sering di bilang angka hilang. Fungsi psikotes (tes psikologi) adalah untuk mengetahui keadaan emosional, motivasi, bakat, kecerdasan, dan sikap seseorang dalam menghadapi suatu hal. Tes ini dimulai pada pagi hari dan tes pertama yang dilakukan yaitu psikotes. Kisi kisi & tahapan tes pt yamaha indonesia motor manufacturing. Tes psikotes united tractor : Tes analogi tes analogi adalah salah satu materi dalam psikotes, dimana tes ini, peserta akan dihadapkan pada anlisis logis mengenai sebuah hubungan, dan menemukan pola hubungan sebab akibat, perbandingan, proses kerja, atau sistematika lainnya yang sejenis dengan konteks yang. Psikotes adalah salah satu tahapan seleksi kerja. Jumlah yang mengikuti tes psikotes 552 orang, tidak hadir 68 orang.

Posting Komentar

Lebih baru Lebih lama